Assiste hoje mesmo às nossas aulas em vídeo com centenas de exercícios resolvidos. Aproveita e esclarece as tuas dúvidas todas!

Praticar Matemática > 11º ano > Introdução ao Cálculo Diferencial I > Exercício 20

Exercícios de Introdução ao Cálculo Diferencial I

folha

Aprende matemática praticando. Tenta resolver o seguinte exercício sobre Introdução ao Cálculo Diferencial I. Escolhe uma das respostas possíveis e vê se acertaste. Se não conseguires resolver consulta o vídeo com a resolução. Se ainda assim continuares com dúvidas deixa uma mensagem no fórum, tentaremos ajudar assim que for possível.

Exercício Nº: 20 / Total: 24

ant. aleatório seg.

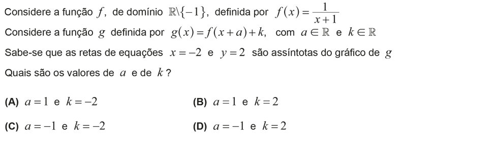
Resolve o seguinte exercício:

Exercício de escolha múltipla com origem no teste intermédio de matemática do 11º ano, publicado em 2013-03-06.
Exercício retirado do teste intermédio de matemática do 11º ano, publicado em 2013-03-06. Guardar

Escolhe uma opção:




Utiliza este espaço para comentários ou dúvidas

Neste local poderás colocar os teus comentários e as tuas dúvidas. Todas as mensagens que não estiverem diretamente relacionadas com este tema, ou que eventualmente contenham linguagem considerada imprópria serão removidas.

Ainda não foram colocados quaisquer comentários/dúvidas.
Enviar Comentário/Dúvida




escrever carta

A maior parte dos exercícios de Introdução ao Cálculo Diferencial I aqui presentes estão resolvidos em vídeo, sendo assim fácil encontrares uma explicação detalhada da solução correta. Na eventualidade do vídeo apresentado não corresponder à resolução do exercício proposto, solicita-se a comunicação do erro através deste fórum ou usando a página Contactar. Obrigado.