Assiste hoje mesmo às nossas aulas em vídeo com centenas de exercícios resolvidos. Aproveita e esclarece as tuas dúvidas todas!

Praticar Matemática > 9º ano > Números Reais e Inequações > Exercício 48

Exercícios de Números Reais e Inequações

folha

Aprende matemática praticando. Tenta resolver o seguinte exercício sobre Números Reais e Inequações. Escolhe uma das respostas possíveis e vê se acertaste. Se não conseguires resolver consulta o vídeo com a resolução. Se ainda assim continuares com dúvidas deixa uma mensagem no fórum, tentaremos ajudar assim que for possível.

Exercício Nº: 48 / Total: 53

ant. aleatório seg.

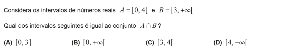
Resolve o seguinte exercício:

Exercício de escolha múltipla com origem no exame nacional de matemática do 9º ano, publicado em 2015, 1ª fase.
Exercício retirado do exame nacional de matemática do 9º ano, publicado em 2015, 1ª fase. Guardar

Escolhe uma opção:




Utiliza este espaço para comentários ou dúvidas

Neste local poderás colocar os teus comentários e as tuas dúvidas. Todas as mensagens que não estiverem diretamente relacionadas com este tema, ou que eventualmente contenham linguagem considerada imprópria serão removidas.

Ainda não foram colocados quaisquer comentários/dúvidas.
Enviar Comentário/Dúvida




escrever carta

A maior parte dos exercícios de Números Reais e Inequações aqui presentes estão resolvidos em vídeo, sendo assim fácil encontrares uma explicação detalhada da solução correta. Na eventualidade do vídeo apresentado não corresponder à resolução do exercício proposto, solicita-se a comunicação do erro através deste fórum ou usando a página Contactar. Obrigado.