Assiste hoje mesmo às nossas aulas em vídeo com centenas de exercícios resolvidos. Aproveita e esclarece as tuas dúvidas todas!

Praticar Matemática > 12º ano > Introdução ao Cálculo Diferencial II > Exercício 74

Exercícios de Introdução ao Cálculo Diferencial II

folha

Aprende matemática praticando. Tenta resolver o seguinte exercício sobre Introdução ao Cálculo Diferencial II. Escolhe uma das respostas possíveis e vê se acertaste. Se não conseguires resolver consulta o vídeo com a resolução. Se ainda assim continuares com dúvidas deixa uma mensagem no fórum, tentaremos ajudar assim que for possível.

Exercício Nº: 74 / Total: 110

ant. aleatório seg.

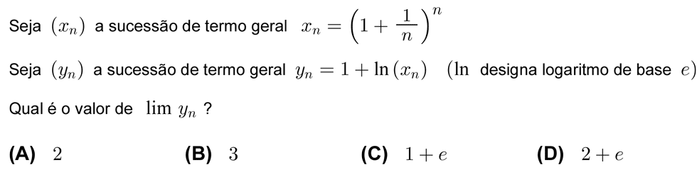
Resolve o seguinte exercício:

Exercício de escolha múltipla com origem no teste intermédio de matemática do 12º ano, publicado em 2006-03-17.
Exercício retirado do teste intermédio de matemática do 12º ano, publicado em 2006-03-17. Guardar

Escolhe uma opção:




Utiliza este espaço para comentários ou dúvidas

Neste local poderás colocar os teus comentários e as tuas dúvidas. Todas as mensagens que não estiverem diretamente relacionadas com este tema, ou que eventualmente contenham linguagem considerada imprópria serão removidas.

Ainda não foram colocados quaisquer comentários/dúvidas.
Enviar Comentário/Dúvida




escrever carta

A maior parte dos exercícios de Introdução ao Cálculo Diferencial II aqui presentes estão resolvidos em vídeo, sendo assim fácil encontrares uma explicação detalhada da solução correta. Na eventualidade do vídeo apresentado não corresponder à resolução do exercício proposto, solicita-se a comunicação do erro através deste fórum ou usando a página Contactar. Obrigado.