Aulas > 12º ano > Aula nº 4

Fatorial de um Número Natural. Conceito e abordagem prática.

lista de tarefas

Vê com atenção o vídeo que contém a explicação da matéria. De seguida, imprime a ficha de trabalho e tenta resolver o máximo de exercícios que conseguires sobre este tema. Se tiveres alguma dúvida nos exercícios que disponibilizamos, consulta a resolução proposta ou coloca uma questão no fórum. Bom estudo!

Cálculo Combinatório

Lição nº: 4 / Total: 7

ant. voltar seg.

Concluir o 12º ano 92%

Introdução

introdução matemática

Dado um conjunto com `n` elementos, chama-se permutação de n elementos a toda a forma de os ordenar, ou seja, a toda a sequência que podemos formar com esses `n` elementos. O número total de permutações de `n` elementos representa-se por `P_n` ou `n!`.

Em linguagem corrente, o símbolo `n!`, com `n in NN`, representa o produto de todos os números naturais menores ou iguais a `n` e lê-se n fatorial ou fatorial de n.



Exercícios resolvidos

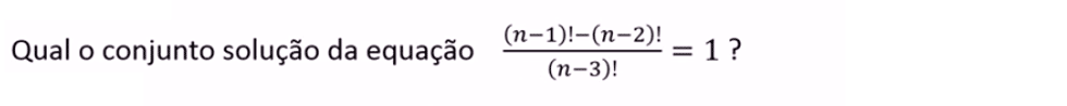
Exercício de matemática do 12º ano
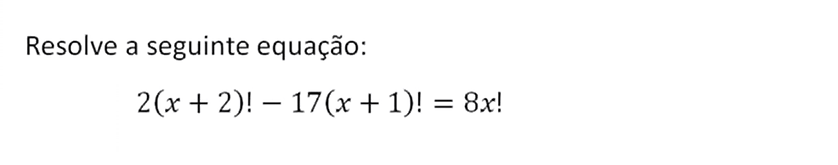
Exercício de matemática do 12º ano
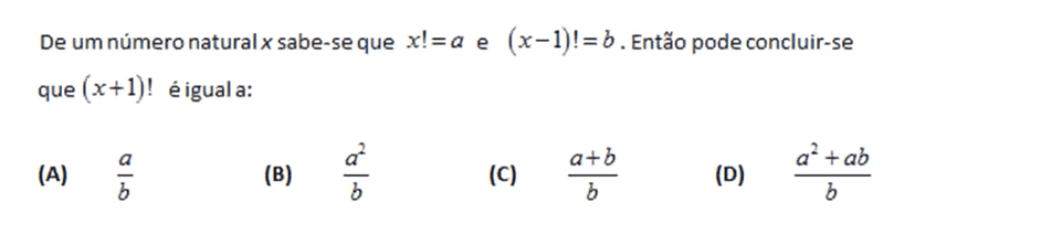
Exercício de matemática do 12º ano
Exercício de matemática do 12º ano
Exercício de matemática do 12º ano
Exercício de matemática do 12º ano
Exercício de matemática do 12º ano
Exercício de matemática do 12º ano
Exercício de matemática do 12º ano
Exercício de matemática do 12º ano
Exercício de matemática do 12º ano
Exercício de matemática do 12º ano
Exercício de matemática do 12º ano
Exercício de matemática do 12º ano
Exercício de matemática do 12º ano
Exercício de matemática do 12º ano


Utiliza este espaço para comentários ou dúvidas

Neste local poderás colocar os teus comentários e as tuas dúvidas. Todas as mensagens que não estiverem diretamente relacionadas com este tema, ou que eventualmente contenham linguagem considerada imprópria serão removidas.

Foram feitos 18 comentários/dúvidas.
24 de Outubro de 2015, 15h35

Mensagem de jfcg

o exercicio 1 está mal feito pois o professor leu mal o enunciado, porque pede a probabilidade de não ficarem juntos.

26 de Outubro de 2015, 08h14

Mensagem de Vitor Nunes

Olá jfcg,
Voltei a ler o enunciado do exercício e voltei a ver o vídeo, porque por vezes os professores também se enganam! Mas felizmente, não foi o caso. Provavelmente, não viste o vídeo da resolução até ao fim. Isto porque é explicado, logo no inicio e novamente no fim, que vamos utilizar a probabilidade do acontecimento contrário, porque neste caso me pareceu mais fácil. Assim calcula-se primeiro a probabilidade de ficarem juntos e no final é calculada a probabilidade de ficarem separados!

28 de Janeiro de 2016, 14h03

Mensagem de Odethe Dias

Quero saber qual a resposta do fatorial: 8!/5!

29 de Janeiro de 2016, 10h52

Mensagem de Vitor Nunes

Olá Odethe,
Por hábito apenas respondo a dúvidas relacionadas com os exercícios aqui colocados, mas vou abrir uma exceção. O cálculo desse fatorial é relativamente simples: `(8!)/(5!) = (8 xx 7 xx 6 xx 5!)/(5!) = 8 xx 7 xx 6 = 336`.
Espero ter ajudado!

30 de Maio de 2016, 19h33

Mensagem de Bernardo Campos

No primeiro exercício do exemplo 2 de simplificação de fatoriais, será que o "n(n-1)" do denominador não corta com o "n x (n-1)" do numerador?

31 de Maio de 2016, 07h41

Mensagem de Vitor Nunes

Olá Bernardo,
Para simplificar frações é muito comum procedermos a "cortes", mas estes devem ser aplicados com cautela, porque por vezes os alunos cortam onde não devem. No seguinte exemplo: `(n(n-1)+2n)/(n-1)`, não se pode cortar o `n-1` porque existe uma soma no numerador, e para se poder cortar o `n-1` este teria que estar presente nas duas parcelas da soma, mas só está presente na primeira parcela. Nos seguintes dois casos, já se pode cortar: `(n(n-1)+2n(n-1))/(n-1)` e `(n(n-1))/(n-1)`. Espero ter ajudado!

17 de Junho de 2016, 11h39

Mensagem de ios

Na aula de simplificação de factoriais (exercício 7!-3!/5!), se fosse resolvido desta forma: 7! é igual a 7x6x5!, então ficaria 7x6x5!-3!/5! que seria igual a 7x6-3! que é igual a 36. Está certo?

20 de Junho de 2016, 14h14

Mensagem de Vitor Nunes

Olá ios,
A tua resolução contém um erro, efetuas um corte que não se pode fazer, repara na forma como simplificas: `(7!-3!)/(5!) hArr (7xx6xx5!-3!)/(5!) hArr 7xx6 - 3!`. Isto está errado!
Isto porque, no numerador temos uma subtração e por esse motivo o `5!` do numerador não pode cortar com o `5!` do denominador. Lê a mensagem que eu em cima escrevi para o Bernardo para perceberes melhor o motivo. De seguida, volta a ver o vídeo que contém a resolução correta para entenderes qual é a melhor forma de simplificar este fatorial.

05 de Outubro de 2016, 18h20

Mensagem de Isa

Olá!
Consegui fazer o exercício nº3 mas, no entanto, não consigo fazer o seguinte: (n+1)! / (n+2)!-(n+1)! = 1/2
Ficaria muito agradecida se me pudesse ajudar a resolver a equação acima.

06 de Outubro de 2016, 14h31

Mensagem de Vitor Nunes

Olá Isa,
Apenas costumo responder a questões relativas aos exercícios presentes na página. Mas como estou com algum tempo disponível, vou-te dar uma ajuda, aqui vai:
`((n+1)!)/((n+2)! - (n+1)!)=1/2 hArr` ` ((n+1)!)/((n+2)xx(n+1)! - (n+1)!) = 1/2 hArr` ` ((n+1)!)/((n+1)!xx((n+2) -1))=1/2 hArr` `1/((n+2)-1) = 1/2 hArr` `1/(n+1)=1/2 hArr` `n+1=2 hArr` `n=1`.
O "truque" é tentar fazer aparecer no denominador o fatorial `(n+1)!` para que este possa cortar com o numerador e assim simplificar a fração.

03 de Novembro de 2016, 17h06

Mensagem de Sofia

Boa tarde!
No exemplo 2 de simplificar fatoriais, quando temos n>=0 ^ n-1>=0 , que depois fica n>=0 ^ n>=1 , por fim, o n fica sempre maior ou igual ao número maior neste caso 1, ou seja, n>=1, certo? Desculpe não estar a ser muito explícita, mas é um pouco complicado. Desde já, muito obrigada.

03 de Novembro de 2016, 22h00

Mensagem de Vitor Nunes

Olá Sofia,
Foste bastante explicita, percebi perfeitamente a tua dúvida. E a resposta é sim. Mas o ideal (para que não fiques confusa) é pensar da seguinte forma: repara que ao termos `n>=0 ^^ n>=1` estamos na presença da interseção de dois conjuntos `[0,+oo[ nn [1, +oo[`. O resultado desta interseção resulta no conjunto `[1, +oo[` que representa a condição `n>=1`. Espero ter sido tão claro, como foste a expor a dúvida.

04 de Novembro de 2016, 17h03

Mensagem de Sara

No exercício 12, havia alguma forma de chegar ao resultado através da fórmula? Teria dificuldade em estar a ver quantas formas de os colocar já tinham sido repetidas. Obrigada!

05 de Novembro de 2016, 20h40

Mensagem de Vitor Nunes

Olá Sara,
Não é tão complicado como parece! Só tens que te lembrar que neste tipo de exercícios de distribuição de lugares numa mesa redonda é sempre necessário fazer a divisão. Assim, anulamos os casos em que os participantes rodam de lugar. Se for uma mesa retangular isso já não acontece. Por isso, numa mesa redonda, com por exemplo 10 lugares, no final temos que nos lembrar de dividir por 10 para eliminar as posições repetidas. Espero que tenhas ficado esclarecida.

28 de Setembro de 2017, 12h42

Mensagem de Ivone

Bom dia!
Agradecia a ajuda que me pudesse dar com a resolução do seguinte exercício:
Dez livros de Matemática e cinco de Física vão ser dispostos, lado a lado, numa prateleira. De quantas formas distintas se podem arrumar os livros, de modo que não fiquem dois livros de Física, lado a lado.

28 de Setembro de 2017, 16h48

Mensagem de Vitor Nunes

Olá Ivone,
Normalmente só respondo a dúvidas relacionadas com os exercícios propostos. Não querendo dar-te a resposta, dou-te o seguinte conselho: usa o acontecimento contrário. Isto é, tenta contar de quantas formas distintas consegues arrumar os livros, garantindo que pelo menos 2 livros de Física fiquem juntos. Quando conseguires isso, basta subtrair esse número ao número total de maneiras de arrumar os livros.

10 de Março de 2020, 16h58

Mensagem de Cláudia

Boa tarde. Podia explicar outra vez porque é que no exercício 13 não se divide por 5 sff?

11 de Março de 2020, 08h45

Mensagem de Vitor Nunes

Olá Cláudia,
Isso acontece, porque no exercício 13, as pessoas vão estar dispostas em círculo. Repara que se não estivessem dispostas em círculo, mas sim numa fila, então a forma como poderia dispor aquele conjunto de duas raparigas e três rapazes seria 5 vezes maior. Este é um pormenor importante a ter em conta, sempre que existe uma disposição circular. Vê o inicio do vídeo com atenção, porque é explicado ao pormenor este conceito.

Enviar Comentário/Dúvida




escrever carta

Todos os vídeos aqui presentes têm por objetivo fornecer ao aluno explicações de matemática online na forma mais intuitiva possível. Todos eles estão disponíveis para consulta através dos canais do YouTube: matematica.PT, Os números da Inês, ExplicaMat, Academia Aberta, Matemática Simples e Matemática no Mocho. Caso encontres algum erro, (por exemplo um vídeo que não funcione ou que não corresponda à explicação do exercício proposto) ou caso queiras dar alguma sugestão de melhoramento, não hesites em nos enviar um email através da página Contactar. Tentaremos dar resposta tão brevemente quanto possível.