Aulas > 12º ano > Aula nº 33

Círculo trigonométrico. (revisão)

lista de tarefas

Vê com atenção o vídeo que contém a explicação da matéria. De seguida, imprime a ficha de trabalho e tenta resolver o máximo de exercícios que conseguires sobre este tema. Se tiveres alguma dúvida nos exercícios que disponibilizamos, consulta a resolução proposta ou coloca uma questão no fórum. Bom estudo!

Trigonometria e Funções Trigonométricas

Lição nº: 2 / Total: 6

ant. voltar seg.

Concluir o 12º ano 37%

Introdução

introdução matemática

Para facilitar o estudo das razões trigonométricas e estabelecer relações entre elas, desenha-se sobre um referencial do plano, com centro na origem, uma circunferência cujo raio se toma para a unidade. A este círculo dá-se o nome de Círculo Trigonométrico.

O seno de um ângulo é a ordenada do ponto de interseção do lado extremidade do ângulo com o circulo trigonométrico.
O coseno de um ângulo é a abcissa do ponto de interseção do lado extremidade do ângulo com o circulo trigonométrico.
A tangente de um ângulo é a ordenada do ponto `P` em que o lado extremidade do ângulo, ou o seu prolongamento, interseta a reta de equação `x = 1`.



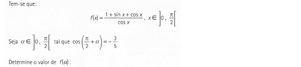
Exercícios resolvidos

Exercício de matemática do 12º ano
Exercício de matemática do 12º ano
Exercício de matemática do 12º ano
Exercício de matemática do 12º ano
Exercício de matemática do 12º ano
Exercício de matemática do 12º ano
Exercício de matemática do 12º ano
Exercício de matemática do 12º ano
Exercício de matemática do 12º ano
Exercício de matemática do 12º ano
Exercício de matemática do 12º ano
Exercício de matemática do 12º ano
Exercício de matemática do 12º ano
Exercício de matemática do 12º ano
Exercício de matemática do 12º ano
Exercício de matemática do 12º ano
Exercício de matemática do 12º ano
Exercício de matemática do 12º ano


Utiliza este espaço para comentários ou dúvidas

Neste local poderás colocar os teus comentários e as tuas dúvidas. Todas as mensagens que não estiverem diretamente relacionadas com este tema, ou que eventualmente contenham linguagem considerada imprópria serão removidas.

Foram feitos 2 comentários/dúvidas.
27 de Maio de 2017, 12h03

Mensagem de Raquel

Boa tarde,
Não percebi porque é que no exercício 11, a resposta das perguntas 1 e 2 são intervalos abertos?

27 de Maio de 2017, 17h05

Mensagem de Vitor Nunes

Olá Raquel,
Repara que o enunciado dos exercícios refere que a variável `x` pertence a um intervalo aberto. Logo a resposta, também é dada num intervalo aberto. Se pelo contrário, no enunciado, a variável `x` pertencesse a um intervalo fechado, então a resposta também seria um intervalo fechado. Espero ter ajudado!

Enviar Comentário/Dúvida




escrever carta

Todos os vídeos aqui presentes têm por objetivo fornecer ao aluno explicações de matemática online na forma mais intuitiva possível. Todos eles estão disponíveis para consulta através dos canais do YouTube: matematica.PT, Os números da Inês, ExplicaMat, Academia Aberta, Matemática Simples e Matemática no Mocho. Caso encontres algum erro, (por exemplo um vídeo que não funcione ou que não corresponda à explicação do exercício proposto) ou caso queiras dar alguma sugestão de melhoramento, não hesites em nos enviar um email através da página Contactar. Tentaremos dar resposta tão brevemente quanto possível.